哈尔滨体育学院2023年运动训练、武术与民族传统体育专业录取原则及拟录取名单公示
按照《体育总局办公厅 教育部办公厅关于印发<2023年普通高等学校运动训练、武术与民族传统体育专业招生管理办法>的通知》(体科字〔2022〕224号)及《哈尔滨体育学院2023年运动训练、武术与民族传统体育专业招生简章》等文件规定,经学校招生领导小组研究决定,现将我校2023年运动训练、武术与民族传统体育专业录取原则及拟录取名单公示如下:
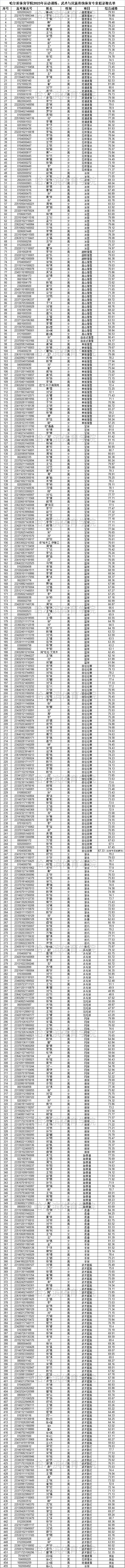
一、我校最低录取控制分数线为文化成绩180分、体育专项成绩40分,根据分项目招生计划,按综合分择优录取。考生综合分相同时,按体育专项成绩择优录取,体育专项成绩仍相同时,按文化成绩择优录取,文化成绩仍相同时,再按单科成绩(语文、数学、英语、政治)排序择优录取。
二、我校运动训练专业计划招生370人(含4名保送录取运动员,短道速滑2人、花样滑冰1人、冰球1人)、武术与民族传统体育专业计划招生85人,已在第一志愿录取完成,不再进行第二志愿录取。
三、如考生弄虚作假,经查实,取消其当年运动训练、武术与民族传统体育专业录取资格,已入学者,取消其入学资格,并依据《国家教育考试违规处理办法》(教育部33号令)处理。
公示期5个工作日。公示期间如有异议,请实名书面提出申请,并将申请发送至邮箱htzsjyc@163.com。
招生就业处联系电话:0451-82766447
纪委办公室监督电话:0451-82716101
哈尔滨体育学院招生就业处
2023年5月19日
